2025威廉希尔第一批调剂复试名单公示

发布时间:2025-04-08动态浏览次数:212

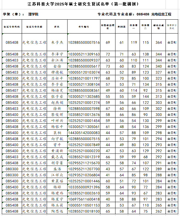
2025年威廉希尔研究生复试名单(第一批调剂)

根据威廉希尔研究生复试细则(已发布公告),2025年威廉希尔物理学学硕、系统科学学硕、光电信息工程专硕、应用统计专硕第一志愿拟复试名单公示如下: